Raison d’être
“What is to be sought in designs for the display of information is the clear portrayal of complexity. Not the complication of the simple; rather … the revelation of the complex.” - Edward R. Tufte
{ggstatsplot} is an extension of {ggplot2} package for creating graphics with details from statistical tests included in the information-rich plots themselves. In a typical exploratory data analysis workflow, data visualization and statistical modeling are two different phases: visualization informs modeling, and modeling in its turn can suggest a different visualization method, and so on and so forth. The central idea of ggstatsplot is simple: combine these two phases into one in the form of graphics with statistical details, which makes data exploration simpler and faster.
Installation
| Type | Command |
|---|---|
| Release | install.packages("ggstatsplot") |
| Development | pak::pak("IndrajeetPatil/ggstatsplot") |
Citation
If you want to cite this package in a scientific journal or in any other context, run the following code in your R console:
citation("ggstatsplot")
To cite package 'ggstatsplot' in publications use:
Patil, I. (2021). Visualizations with statistical details: The
'ggstatsplot' approach. Journal of Open Source Software, 6(61), 3167,
doi:10.21105/joss.03167
A BibTeX entry for LaTeX users is
@Article{,
doi = {10.21105/joss.03167},
url = {https://doi.org/10.21105/joss.03167},
year = {2021},
publisher = {{The Open Journal}},
volume = {6},
number = {61},
pages = {3167},
author = {Indrajeet Patil},
title = {{Visualizations with statistical details: The {'ggstatsplot'} approach}},
journal = {{Journal of Open Source Software}},
}Acknowledgments
I would like to thank all the contributors to ggstatsplot who pointed out bugs or requested features I hadn’t considered. I would especially like to thank other package developers (especially Daniel Lüdecke, Dominique Makowski, Mattan S. Ben-Shachar, Brenton Wiernik, Patrick Mair, Salvatore Mangiafico, etc.) who have patiently and diligently answered my relentless questions and supported feature requests in their projects. I also want to thank Chuck Powell for his initial contributions to the package.
The hexsticker was generously designed by Sarah Otterstetter (Max Planck Institute for Human Development, Berlin). This package has also benefited from the larger #rstats community on Twitter, LinkedIn, and StackOverflow.
Thanks are also due to my postdoc advisers (Mina Cikara and Fiery Cushman at Harvard University; Iyad Rahwan at Max Planck Institute for Human Development) who patiently supported me spending hundreds (?) of hours working on this package rather than what I was paid to do. 😁
Documentation and Examples
To see the detailed documentation for each function in the stable CRAN version of the package, see:
Summary of available plots
| Function | Plot | Description |
|---|---|---|
ggbetweenstats() |
violin plots | for comparisons between groups/conditions |
ggwithinstats() |
violin plots | for comparisons within groups/conditions |
gghistostats() |
histograms | for distribution about numeric variable |
ggdotplotstats() |
dot plots/charts | for distribution about labeled numeric variable |
ggscatterstats() |
scatterplots | for correlation between two variables |
ggcorrmat() |
correlation matrices | for correlations between multiple variables |
ggpiestats() |
pie charts | for categorical data |
ggbarstats() |
bar charts | for categorical data |
ggcoefstats() |
dot-and-whisker plots | for regression models and meta-analysis |
In addition to these basic plots, ggstatsplot also provides grouped_ versions (see below) that makes it easy to repeat the same analysis for any grouping variable.
Summary of types of statistical analyses
The table below summarizes all the different types of analyses currently supported in this package-
| Functions | Description | Parametric | Non-parametric | Robust | Bayesian |
|---|---|---|---|---|---|
ggbetweenstats() |
Between group/condition comparisons | ✅ | ✅ | ✅ | ✅ |
ggwithinstats() |
Within group/condition comparisons | ✅ | ✅ | ✅ | ✅ |
gghistostats(), ggdotplotstats()
|
Distribution of a numeric variable | ✅ | ✅ | ✅ | ✅ |
ggcorrmat |
Correlation matrix | ✅ | ✅ | ✅ | ✅ |
ggscatterstats() |
Correlation between two variables | ✅ | ✅ | ✅ | ✅ |
ggpiestats(), ggbarstats()
|
Association between categorical variables | ✅ | ✅ | ❌ | ✅ |
ggpiestats(), ggbarstats()
|
Equal proportions for categorical variable levels | ✅ | ✅ | ❌ | ✅ |
ggcoefstats() |
Regression model coefficients | ✅ | ✅ | ✅ | ✅ |
ggcoefstats() |
Random-effects meta-analysis | ✅ | ❌ | ✅ | ✅ |
Summary of Bayesian analysis
| Analysis | Hypothesis testing | Estimation |
|---|---|---|
| (one/two-sample) t-test | ✅ | ✅ |
| one-way ANOVA | ✅ | ✅ |
| correlation | ✅ | ✅ |
| (unpaired) contingency table | ✅ | ✅ |
| (paired) contingency table | ✅ | ❌ |
| random-effects meta-analysis | ✅ | ✅ |
Statistical reporting
For all statistical tests reported in the plots, the default template abides by the gold standard for statistical reporting. For example, here are results from Yuen’s test for trimmed means (robust t-test):

Summary of statistical tests and effect sizes
Statistical analysis is carried out by statsExpressions package, and thus a summary table of all the statistical tests currently supported across various functions can be found in article for that package: https://www.indrapatil.com/statsExpressions/articles/stats_details.html
Primary functions
ggbetweenstats()
This function creates either a violin plot, a box plot, or a mix of two for between-group or between-condition comparisons with results from statistical tests in the subtitle. The simplest function call looks like this-
set.seed(123)
ggbetweenstats(
data = iris,
x = Species,
y = Sepal.Length,
title = "Distribution of sepal length across Iris species"
)
Defaults return
✅ raw data + distributions
✅ descriptive statistics
✅ inferential statistics
✅ effect size + CIs
✅ pairwise comparisons
✅ Bayesian hypothesis-testing
✅ Bayesian estimation
A number of other arguments can be specified to make this plot even more informative or change some of the default options. Additionally, there is also a grouped_ variant of this function that makes it easy to repeat the same operation across a single grouping variable:
set.seed(123)
grouped_ggbetweenstats(
data = dplyr::filter(movies_long, genre %in% c("Action", "Comedy")),
x = mpaa,
y = length,
grouping.var = genre,
ggsignif.args = list(textsize = 4, tip_length = 0.01),
p.adjust.method = "bonferroni",
palette = "ggsci::default_jama",
plotgrid.args = list(nrow = 1),
annotation.args = list(title = "Differences in movie length by mpaa ratings for different genres")
)
Details about underlying functions used to create graphics and statistical tests carried out can be found in the function documentation: https://www.indrapatil.com/ggstatsplot/reference/ggbetweenstats.html
For more, also read the following vignette: https://www.indrapatil.com/ggstatsplot/articles/web_only/ggbetweenstats.html
ggwithinstats()
ggbetweenstats() function has an identical twin function ggwithinstats() for repeated measures designs that behaves in the same fashion with a few minor tweaks introduced to properly visualize the repeated measures design. As can be seen from an example below, the only difference between the plot structure is that now the group means are connected by paths to highlight the fact that these data are paired with each other.
If your repeated-measures data include an explicit subject identifier, it is recommended that you pass it via subject.id; rows with missing identifiers are ignored for paired grouping and repeated-measures statistics.
set.seed(123)
library(WRS2) ## for data
library(afex) ## to run ANOVA
ggwithinstats(
data = WineTasting,
x = Wine,
y = Taste,
subject.id = Taster,
title = "Wine tasting"
)
Defaults return
✅ raw data + distributions
✅ descriptive statistics
✅ inferential statistics
✅ effect size + CIs
✅ pairwise comparisons
✅ Bayesian hypothesis-testing
✅ Bayesian estimation
As with the ggbetweenstats(), this function also has a grouped_ variant that makes repeating the same analysis across a single grouping variable quicker. We will see an example with only repeated measurements-
set.seed(123)
grouped_ggwithinstats(
data = dplyr::filter(bugs_long, region %in% c("Europe", "North America"), condition %in% c("LDLF", "LDHF")),
x = condition,
y = desire,
subject.id = subject,
type = "np",
xlab = "Condition",
ylab = "Desire to kill an artrhopod",
grouping.var = region
)
Details about underlying functions used to create graphics and statistical tests carried out can be found in the function documentation: https://www.indrapatil.com/ggstatsplot/reference/ggwithinstats.html
For more, also read the following vignette: https://www.indrapatil.com/ggstatsplot/articles/web_only/ggwithinstats.html
gghistostats()
To visualize the distribution of a single variable and check if its mean is significantly different from a specified value with a one-sample test, gghistostats() can be used.
set.seed(123)
gghistostats(
data = ggplot2::msleep,
x = awake,
title = "Amount of time spent awake",
test.value = 12,
binwidth = 1
)
Defaults return
✅ counts + proportion for bins
✅ descriptive statistics
✅ inferential statistics
✅ effect size + CIs
✅ Bayesian hypothesis-testing
✅ Bayesian estimation
There is also a grouped_ variant of this function that makes it easy to repeat the same operation across a single grouping variable:
set.seed(123)
grouped_gghistostats(
data = dplyr::filter(movies_long, genre %in% c("Action", "Comedy")),
x = budget,
test.value = 50,
type = "nonparametric",
xlab = "Movies budget (in million US$)",
grouping.var = genre,
ggtheme = ggthemes::theme_tufte(),
## modify the defaults from `{ggstatsplot}` for each plot
plotgrid.args = list(nrow = 1),
annotation.args = list(title = "Movies budgets for different genres")
)
Details about underlying functions used to create graphics and statistical tests carried out can be found in the function documentation: https://www.indrapatil.com/ggstatsplot/reference/gghistostats.html
For more, also read the following vignette: https://www.indrapatil.com/ggstatsplot/articles/web_only/gghistostats.html
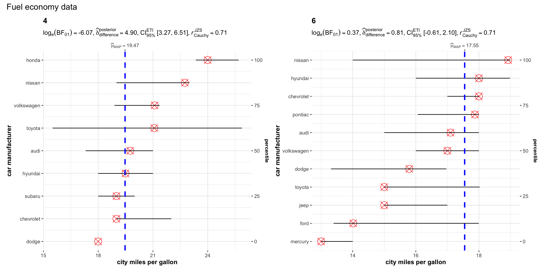
ggdotplotstats()
This function is similar to gghistostats(), but is intended to be used when the numeric variable also has a label.
set.seed(123)
ggdotplotstats(
data = dplyr::filter(gapminder::gapminder, continent == "Asia"),
y = country,
x = lifeExp,
test.value = 55,
type = "robust",
title = "Distribution of life expectancy in Asian continent",
xlab = "Life expectancy"
)
Defaults return
✅descriptives (centrality measure + uncertainty + sample size)
✅ inferential statistics
✅ effect size + CIs
✅ Bayesian hypothesis-testing
✅ Bayesian estimation
As with the rest of the functions in this package, there is also a grouped_ variant of this function to facilitate looping the same operation for all levels of a single grouping variable.
set.seed(123)
grouped_ggdotplotstats(
data = dplyr::filter(ggplot2::mpg, cyl %in% c("4", "6")),
x = cty,
y = manufacturer,
type = "bayes",
xlab = "city miles per gallon",
ylab = "car manufacturer",
grouping.var = cyl,
test.value = 15.5,
point.args = list(color = "red", size = 5, shape = 13),
annotation.args = list(title = "Fuel economy data")
)
Details about underlying functions used to create graphics and statistical tests carried out can be found in the function documentation: https://www.indrapatil.com/ggstatsplot/reference/ggdotplotstats.html
For more, also read the following vignette: https://www.indrapatil.com/ggstatsplot/articles/web_only/ggdotplotstats.html
ggscatterstats()
This function creates a scatterplot with marginal distributions overlaid on the axes and results from statistical tests in the subtitle:
ggscatterstats(
data = ggplot2::msleep,
x = sleep_rem,
y = awake,
xlab = "REM sleep (in hours)",
ylab = "Amount of time spent awake (in hours)",
title = "Understanding mammalian sleep"
)
Defaults return
✅ raw data + distributions
✅ marginal distributions
✅ inferential statistics
✅ effect size + CIs
✅ Bayesian hypothesis-testing
✅ Bayesian estimation
There is also a grouped_ variant of this function that makes it easy to repeat the same operation across a single grouping variable.
set.seed(123)
grouped_ggscatterstats(
data = dplyr::filter(movies_long, genre %in% c("Action", "Comedy")),
x = rating,
y = length,
grouping.var = genre,
label.var = title,
label.expression = length > 200,
xlab = "IMDB rating",
ggtheme = ggplot2::theme_grey(),
ggplot.component = list(ggplot2::scale_x_continuous(breaks = seq(2, 9, 1), limits = (c(2, 9)))),
plotgrid.args = list(nrow = 1),
annotation.args = list(title = "Relationship between movie length and IMDB ratings")
)
Details about underlying functions used to create graphics and statistical tests carried out can be found in the function documentation: https://www.indrapatil.com/ggstatsplot/reference/ggscatterstats.html
For more, also read the following vignette: https://www.indrapatil.com/ggstatsplot/articles/web_only/ggscatterstats.html
ggcorrmat
ggcorrmat makes a correlalogram (a matrix of correlation coefficients) with minimal amount of code. Just sticking to the defaults itself produces publication-ready correlation matrices. But, for the sake of exploring the available options, let’s change some of the defaults. For example, multiple aesthetics-related arguments can be modified to change the appearance of the correlation matrix.
set.seed(123)
## as a default this function outputs a correlation matrix plot
ggcorrmat(
data = ggplot2::msleep,
colors = c("#B2182B", "white", "#4D4D4D"),
title = "Correlalogram for mammals sleep dataset",
subtitle = "sleep units: hours; weight units: kilograms"
)
Defaults return
✅ effect size + significance
✅ careful handling of NAs
If there are NAs present in the selected variables, the legend will display minimum, median, and maximum number of pairs used for correlation tests.
There is also a grouped_ variant of this function that makes it easy to repeat the same operation across a single grouping variable:
set.seed(123)
grouped_ggcorrmat(
data = dplyr::filter(movies_long, genre %in% c("Action", "Comedy")),
type = "robust",
colors = c("#cbac43", "white", "#550000"),
grouping.var = genre,
p.adjust.method = "fdr",
matrix.type = "lower"
)
Details about underlying functions used to create graphics and statistical tests carried out can be found in the function documentation: https://www.indrapatil.com/ggstatsplot/reference/ggcorrmat.html
For more, also read the following vignette: https://www.indrapatil.com/ggstatsplot/articles/web_only/ggcorrmat.html
ggpiestats()
This function creates a pie chart for categorical or nominal variables with results from contingency table analysis (Pearson’s chi-squared test for between-subjects design and McNemar’s chi-squared test for within-subjects design) included in the subtitle of the plot. If only one categorical variable is entered, results from one-sample proportion test (i.e., a chi-squared goodness of fit test) will be displayed as a subtitle.
To study an interaction between two categorical variables:
set.seed(123)
ggpiestats(
data = mtcars,
x = am,
y = cyl,
palette = "wesanderson::Royal1",
title = "Dataset: Motor Trend Car Road Tests",
legend.title = "Transmission"
)
Defaults return
✅ descriptives (frequency + %s)
✅ inferential statistics
✅ effect size + CIs
✅ Goodness-of-fit tests
✅ Bayesian hypothesis-testing
✅ Bayesian estimation
There is also a grouped_ variant of this function that makes it easy to repeat the same operation across a single grouping variable. Following example is a case where the theoretical question is about proportions for different levels of a single nominal variable:
set.seed(123)
grouped_ggpiestats(
data = mtcars,
x = cyl,
grouping.var = am,
label.repel = TRUE,
palette = "ggsci::default_ucscgb"
)
Details about underlying functions used to create graphics and statistical tests carried out can be found in the function documentation: https://www.indrapatil.com/ggstatsplot/reference/ggpiestats.html
For more, also read the following vignette: https://www.indrapatil.com/ggstatsplot/articles/web_only/ggpiestats.html
ggbarstats()
In case you are not a fan of pie charts (for very good reasons), you can alternatively use ggbarstats() function which has a similar syntax—including support for one-sample goodness-of-fit tests.
To study an interaction between two categorical variables:
set.seed(123)
library(ggplot2)
ggbarstats(
data = movies_long,
x = mpaa,
y = genre,
title = "MPAA Ratings by Genre",
xlab = "movie genre",
legend.title = "MPAA rating",
ggplot.component = list(ggplot2::scale_x_discrete(guide = ggplot2::guide_axis(n.dodge = 2))),
palette = "RColorBrewer::Set2"
)
Defaults return
✅ descriptives (frequency + %s)
✅ inferential statistics
✅ effect size + CIs
✅ Goodness-of-fit tests
✅ Bayesian hypothesis-testing
✅ Bayesian estimation
There is also a grouped_ variant of this function that makes it easy to repeat the same operation across a single grouping variable. Following example is a case where the theoretical question is about proportions for different levels of a single nominal variable:
set.seed(123)
grouped_ggbarstats(
data = mtcars,
x = cyl,
grouping.var = am,
label.repel = TRUE,
palette = "ggsci::default_ucscgb"
)
Details about underlying functions used to create graphics and statistical tests carried out can be found in the function documentation: https://www.indrapatil.com/ggstatsplot/reference/ggbarstats.html
For more, also read the following vignette: https://www.indrapatil.com/ggstatsplot/articles/web_only/ggbarstats.html
ggcoefstats()
The function ggcoefstats() generates dot-and-whisker plots for regression models. The tidy data frames are prepared using parameters::model_parameters(). Additionally, if available, the model summary indices are also extracted from performance::model_performance().
set.seed(123)
## model
mod <- stats::lm(formula = mpg ~ am * cyl, data = mtcars)
ggcoefstats(mod)
Defaults return
✅ inferential statistics
✅ estimate + CIs
✅ model summary (AIC and BIC)
Details about underlying functions used to create graphics and statistical tests carried out can be found in the function documentation: https://www.indrapatil.com/ggstatsplot/reference/ggcoefstats.html
For more, also read the following vignette: https://www.indrapatil.com/ggstatsplot/articles/web_only/ggcoefstats.html
Extracting expressions and data frames with statistical details
ggstatsplot also offers a convenience function to extract data frames with statistical details that are used to create expressions displayed in ggstatsplot plots.
set.seed(123)
p <- ggbetweenstats(mtcars, cyl, mpg)
# extracting expression present in the subtitle
extract_subtitle(p)
#> list(italic("F")["Welch"](2, 18.03) == "31.62", italic(p) ==
#> "1.27e-06", widehat(omega["p"]^2) == "0.74", CI["95%"] ~
#> "[" * "0.53", "1.00" * "]", italic("n")["obs"] == "32")
# extracting expression present in the caption
extract_caption(p)
#> list(log[e] * (BF["01"]) == "-14.92", widehat(italic(R^"2"))["Bayesian"]^"posterior" ==
#> "0.71", CI["95%"]^HDI ~ "[" * "0.57", "0.79" * "]", italic("r")["Cauchy"]^"JZS" ==
#> "0.71")
# a list of tibbles containing statistical analysis summaries
extract_stats(p)
#> $subtitle_data
#> # A tibble: 1 × 14
#> statistic df df.error p.value
#> <dbl> <dbl> <dbl> <dbl>
#> 1 31.6 2 18.0 0.00000127
#> method effectsize estimate
#> <chr> <chr> <dbl>
#> 1 One-way analysis of means (not assuming equal variances) Omega2 0.744
#> conf.level conf.low conf.high conf.method conf.distribution n.obs expression
#> <dbl> <dbl> <dbl> <chr> <chr> <int> <list>
#> 1 0.95 0.531 1 ncp F 32 <language>
#>
#> $caption_data
#> # A tibble: 6 × 17
#> term pd prior.distribution prior.location prior.scale bf10
#> <chr> <dbl> <chr> <dbl> <dbl> <dbl>
#> 1 mu 1 cauchy 0 0.707 3008850.
#> 2 cyl-4 1 cauchy 0 0.707 3008850.
#> 3 cyl-6 0.780 cauchy 0 0.707 3008850.
#> 4 cyl-8 1 cauchy 0 0.707 3008850.
#> 5 sig2 1 cauchy 0 0.707 3008850.
#> 6 g_cyl 1 cauchy 0 0.707 3008850.
#> method log_e_bf10 effectsize estimate std.dev
#> <chr> <dbl> <chr> <dbl> <dbl>
#> 1 Bayes factors for linear models 14.9 Bayesian R-squared 0.714 0.0503
#> 2 Bayes factors for linear models 14.9 Bayesian R-squared 0.714 0.0503
#> 3 Bayes factors for linear models 14.9 Bayesian R-squared 0.714 0.0503
#> 4 Bayes factors for linear models 14.9 Bayesian R-squared 0.714 0.0503
#> 5 Bayes factors for linear models 14.9 Bayesian R-squared 0.714 0.0503
#> 6 Bayes factors for linear models 14.9 Bayesian R-squared 0.714 0.0503
#> conf.level conf.low conf.high conf.method n.obs expression
#> <dbl> <dbl> <dbl> <chr> <int> <list>
#> 1 0.95 0.574 0.788 HDI 32 <language>
#> 2 0.95 0.574 0.788 HDI 32 <language>
#> 3 0.95 0.574 0.788 HDI 32 <language>
#> 4 0.95 0.574 0.788 HDI 32 <language>
#> 5 0.95 0.574 0.788 HDI 32 <language>
#> 6 0.95 0.574 0.788 HDI 32 <language>
#>
#> $pairwise_comparisons_data
#> # A tibble: 3 × 9
#> group1 group2 statistic p.value alternative distribution p.adjust.method
#> <chr> <chr> <dbl> <dbl> <chr> <chr> <chr>
#> 1 4 6 -6.67 0.00110 two.sided q Holm
#> 2 4 8 -10.7 0.0000140 two.sided q Holm
#> 3 6 8 -7.48 0.000257 two.sided q Holm
#> test expression
#> <chr> <list>
#> 1 Games-Howell <language>
#> 2 Games-Howell <language>
#> 3 Games-Howell <language>
#>
#> $descriptive_data
#> NULL
#>
#> $one_sample_data
#> NULL
#>
#> $tidy_data
#> NULL
#>
#> $glance_data
#> NULL
#>
#> attr(,"class")
#> [1] "ggstatsplot_stats" "list"Note that all of this analysis is carried out by statsExpressions package: https://www.indrapatil.com/statsExpressions/
Using {ggstatsplot} statistical details with custom plots
Sometimes you may not like the default plots produced by ggstatsplot. In such cases, you can use other custom plots (from ggplot2 or other plotting packages) and still use ggstatsplot functions to display results from relevant statistical test.
For example, in the following chunk, we will create our own plot using ggplot2 package, and use ggstatsplot function for extracting expression:
## loading the needed libraries
set.seed(123)
library(ggplot2)
## using `{ggstatsplot}` to get expression with statistical results
stats_results <- ggbetweenstats(morley, Expt, Speed) |> extract_subtitle()
## creating a custom plot of our choosing
ggplot(morley, aes(x = as.factor(Expt), y = Speed)) +
geom_boxplot() +
labs(
title = "Michelson-Morley experiments",
subtitle = stats_results,
x = "Speed of light",
y = "Experiment number"
)
Summary of benefits of using {ggstatsplot}
No need to use scores of packages for statistical analysis (e.g., one to get stats, one to get effect sizes, another to get Bayes Factors, and yet another to get pairwise comparisons, etc.).
Minimal amount of code needed for all functions (typically only
data,x, andy), which minimizes chances of error and makes for tidy scripts.Conveniently toggle between statistical approaches.
Truly makes your figures worth a thousand words.
No need to copy-paste results to the text editor (MS-Word, e.g.).
Disembodied figures stand on their own and are easy to evaluate for the reader.
More breathing room for theoretical discussion and other text.
No need to worry about updating figures and statistical details separately.
Misconceptions about {ggstatsplot}
This package is…
❌ an alternative to learning ggplot2
✅ (The better you know ggplot2, the more you can modify the defaults to your liking.)
❌ meant to be used in talks/presentations
✅ (Default plots can be too complicated for effectively communicating results in time-constrained presentation settings, e.g. conference talks.)
❌ the only game in town
✅ (GUI software alternatives: JASP and jamovi).
Extensions
In case you use the GUI software jamovi, you can install a module called jjstatsplot, which is a wrapper around ggstatsplot.